Physics Library
 An open source physics library
Encyclopedia | Forums | Docs | Random | Template Test |  
Login
create new user
Username:
Password:
forget your password?
Main Menu
Sections

Meta

Talkback

Downloads

Information
Euler angle sequences (Definition)

An Euler angle sequence is a rotation matrix that is completely determined by three parameters, called Euler angles. These Euler angles are represented by the $\phi $ , $\theta $ and $\psi $ variables with each corresponding to a rotation about an axis. There are several different conventions. Only one will be shown here, since it is more important to understand the underlying math thoroughly.

A list of the Euler angle rotation matrices for different sequences

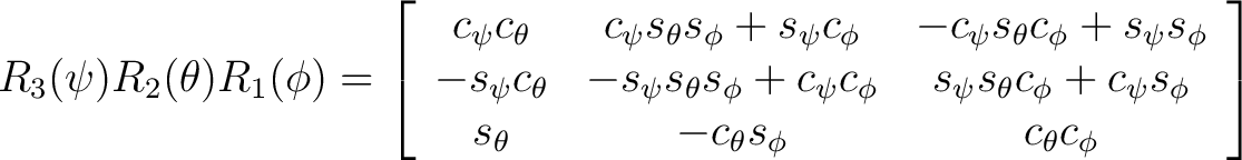
Euler 123 sequence

$R_3(\psi)R_2(\theta)R_1(\phi) = \left[ \begin{array}{ccc} c_{\psi} c_{\theta} &... ... s_{\theta} & -c_{\theta} s_{\phi} & c_{\theta} c_{\phi} \end{array} \right] $

Euler 132 Sequence

$R_2(\psi)R_3(\theta)R_1(\phi) = \left[ \begin{array}{ccc} c_{\psi} c_{\theta} &... ..._{\phi} & s_{\psi} s_{\theta} s_{\phi} + c_{\psi} c_{\phi} \end{array} \right] $

Euler 121 sequence

$R_1(\psi)R_2(\theta)R_1(\phi) = \left[ \begin{array}{ccc} c_{\theta} & -s_{\the... ...{\phi} & -s_{\psi} s_{\phi} + c_{\psi} c_{\theta} c_{\phi} \end{array} \right] $

Euler 131 sequence

$R_1(\psi)R_3(\theta)R_1(\phi) = \left[ \begin{array}{ccc} c_{\theta} & s_{\thet... ...\phi} & - s_{\psi} c_{\theta} s_{\phi} + c_{\psi} c_{\phi} \end{array} \right] $

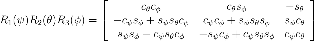
Euler 213 sequence

$R_3(\psi)R_1(\theta)R_2(\phi) = \left[ \begin{array}{ccc} c_{\psi} c_{\phi} + s... ... c_{\theta} s_{\phi} & -s_{\theta} & c_{\theta} c_{\phi} \end{array} \right] $

Euler 231 sequence

$R_1(\psi)R_3(\theta)R_2(\phi) = \left[ \begin{array}{ccc} c_{\theta} c_{\phi} &... ...\theta} & -s_{\psi} s_{\theta} s_{\phi} +c_{\psi} c_{\phi} \end{array} \right] $

Euler 212 sequence

$R_2(\psi)R_1(\theta)R_2(\phi) = \left[ \begin{array}{ccc} c_{\psi} c_{\phi} - s... ...theta} & -s_{\psi} s_{\phi} + c_{\psi} c_{\theta} c_{\phi} \end{array} \right] $

Euler 232 sequence

$R_2(\psi)R_3(\theta)R_2(\phi) = \left[ \begin{array}{ccc} c_{\psi} c_{\theta} c... ...heta} & - s_{\psi} c_{\theta} s_{\phi} + c_{\psi} c_{\phi} \end{array} \right] $

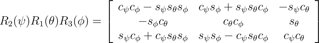
Euler 312 Sequence

$R_2(\psi)R_1(\theta)R_3(\phi) = \left[ \begin{array}{ccc} c_{\psi} c_{\phi} - s... ...\phi} - c_{\psi} s_{\theta} c_{\phi} & c_{\psi} c_{\theta} \end{array} \right] $

Euler 321 sequence

$R_1(\psi)R_2(\theta)R_3(\phi) = \left[ \begin{array}{ccc} c_{\theta} c_{\phi} &... ...\phi} + c_{\psi} s_{\theta} s_{\phi} & c_{\psi} c_{\theta} \end{array} \right] $

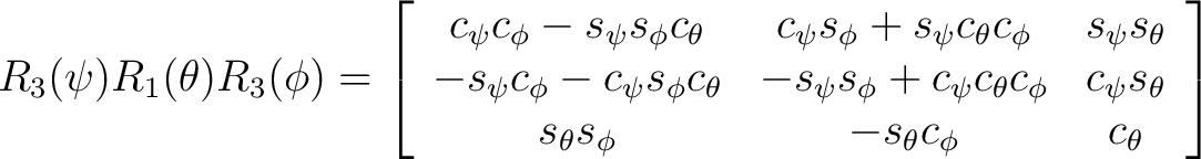
Euler 313 sequence

$R_3(\psi)R_1(\theta)R_3(\phi) = \left[ \begin{array}{ccc} c_{\psi} c_{\phi} - s... ... s_{\theta} s_{\phi} & -s_{\theta} c_{\phi} & c_{\theta} \end{array} \right] $

Euler 323 sequence

$R_3(\psi)R_2(\theta)R_3(\phi) = \left[ \begin{array}{ccc} c_{\psi} c_{\theta} c... ...\ s_{\theta} c_{\phi} & s_{\theta} s_{\phi} & c_{\theta} \end{array} \right] $



"Euler angle sequences" is owned by bloftin.
View style:
Other names:  "Euler angle rotation matrix", "Euler Angle Sequence"

Cross-references: Euler 323 sequence, Euler 313 sequence, Euler 321 sequence, Euler 312 Sequence, Euler 232 sequence, Euler 212 sequence, Euler 231 sequence, Euler 213 sequence, Euler 131 sequence, Euler 121 sequence, Euler 132 Sequence, Euler 123 sequence, parameters, matrix
There are 15 references to this object.

This is version 6 of Euler angle sequences, born on 2005-08-19, modified 2026-02-16.
Object id is 71, canonical name is EulerAngles.
Accessed 288 times total.

Classification:
Physics Classification45.40.-f (Dynamics and kinematics of rigid bodies)
Pending Errata and Addenda
None.
Discussion
Style: Expand: Order:

No messages.

Testing some escape charachters for html category with a generator has an injective cogenerator" now escape ” with "